What you'll learn:
|
Continuous Descent Approach consists in descending continuously in idle thrust and without leveled steps.
The following graph shows an example of two descent profiles:
-
In red, a descent profile with steps, resulting in a higher fuel consumption
-
In green a perfect application of continuous descent approach, with no step
The aircraft flies at a higher level until the optimal Top of Descent is reached and then performs its continuous descent. By maintaining a descent at idle thrust, it greatly reduces its fuel consumption.

- It reduces fuel consumption, as explained above
- It reduces the greenhouse gas emissions that are responsible for the planet’s climate change
-
It also reduces the noise nuisances near airports
Descent is not the most fuel-consuming phase of the flight, so you may think that there is not much to save during that phase. However, here are a few figures that demonstrate otherwise:By applying the Continuous Descent Approach, a single-aisle aircraft such as the A320 or B737 will save between 30 and 70 kg of fuel per flight. For larger aircraft, the benefit can exceed 250 kg.
As an example, let’s take an airline operating a fleet of only 20 single-aisle aircraft flying 6 flights a day: since a Continuous Descent Approach allows to save around 50 kg per flight, this will result in more than 2 million kg of fuel saved per year (or more than 700,000 gallons), which represents a significant gain.
During the descent phase, Air Traffic Control (ATC) has an important role since they guide the pilots throughout the descent, sometimes imposing steps or even holdings. Some arrival airports also have distant approach procedures that prevent CDA application.
Pilots may feel that they have no power over the descent profile. However, with favorable approach procedures, pilots who request for Continuous Descent Approach are usually authorized to do it.
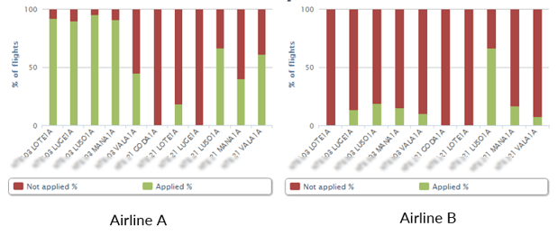
In the example below, there are two airlines operating the same aircraft (Boeing 737-800) and going to the same airport. With their authorization, we benchmarked their level application of CDA at this airport:

As you can see on the graph, Airline A managed to get 50% or 75% of level of application at this airport depending on the runway, while airline B could hardly reach 10%.
You might think we should consider that maybe the two airlines were using different approaches to land.
Since SkyBreathe can recognize which Standard Arrival Route was actually flown, the graph below shows that the final approach has nothing to do with the performance and that the company culture or pilot habits can make a huge difference:

Furthermore, on congested airports such as Dubai International (DXB) or London Heathrow (LHR), the airspace is quite tight, which may lead to think that CDA cannot be applied. But some airlines manage to execute CDA on more than 50% of the flights at these airports, and it still enables to save a great amount of fuel.
You've completed the CDA module!
Watch the wrap-up video.
Want to learn more ?
Check out the 22 main techniques for optimizing fuel burn during all phases of flight.

